e-Learning in electrical engineering

Pesquisar | Princípios de Navegação
Conversão Electromagnética Campo Girante Máquina Síncrona Máquina Assíncrona Teste os seus conhecimentos

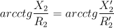
Condiţia de conservare a defazajului dintre t.e.m. indusă şi curentul corespunzător celor două rotoare

Condiţia de conservare a defazajului dintre t.e.m. indusă şi curentul corespunzător celor două rotoare:

(20)

de unde rezultă valoarea raportată a reactanţei rotorului:

(21)

 

Responsável : Damien Grenier, Sergiu Ivanov | Realização : Sophie Labrique | Versão Portuguesa : Maria José Resende | © e-lee.net